www.sofielec.com
Proporciona protección contra fallas a tierra/corrientes de fuga, cortocircuitos, sobrecargas y
función de aislamiento
Proporciona protección complementaria contra el contacto directo con el cuerpo humano.
Protege eficazmente los equipos eléctricos contra fallos de aislamiento.
Proporciona protección integral a la distribución doméstica y comercial.
sistemas
| Categorías | Disyuntor superior de 10 kA serie 16 |
| Tipo | Tipo electromagnético |
| Características de la corriente residual | Número de polos de CA: 1P+N |
| Curva de disparo | B, C, D |
| Capacidad nominal de cortocircuito | 10 kA |
| Tensión nominal | 240 V CA |
| Frecuencia nominal | 50/60 Hz |
| Corriente residual de funcionamiento nominal (mA) | 0,03,0,1,0,3. |
| Duración del viaje | instantáneo≤0,1 s |
| Resistencia electromecánica | 4000 ciclos |
| Terminal de conexión | Terminal de pilar con abrazadera |
Datos técnicos del disyuntor RCBO
l Tipo: Tipo electromagnético |
l Características de corriente residual: CA A |
l Número de polos: 1P+N |
l Curva de disparo: B, C, D |
l Capacidad nominal de cortocircuito: 10 kA |
l Corriente nominal (A): 1,2,3,4,6,10,16,20,25,32,40 |
l Frecuencia nominal: 50/60Hz |
l Corriente residual de funcionamiento nominal (mA): 0,03, 0,1, 0,3 |
l Duración del disparo: instantáneo ≤ 0,1 s |
l Resistencia electromecánica: 4000 ciclos |
l Terminal de conexión: terminal de pilar con abrazadera |
l Capacidad de conexión: Conductor rígido 16mm 2 |
l Altura de conexión del terminal: 21,5 mm |
l Instalación: En carril DIN simétrico de 35 mm |
Construcción y características
Proporciona protección contra fallas a tierra/corrientes de fuga, cortocircuitos, sobrecargas y
función de aislamiento
Proporciona protección complementaria contra el contacto directo con el cuerpo humano.
Protege eficazmente los equipos eléctricos contra fallos de aislamiento.
Proporciona protección integral a la distribución doméstica y comercial.
sistemas
Dimensiones generales y de instalación

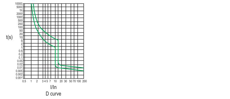
Curva característica


Diagrama de cableado
> Sofielec expone en la Exposición Asia Power Electrician and Smart Grid, del 21 al 23 de julio de 2021, Pazhou Hall, Guangzhou, Stand No. 9.2, Hall H11.
Estimados todos, exhibiremos en la Exposición Asia Power Electrician and Smart Grid, del 21 al 23 de julio de 2021, Pazhou Hall, Guangzhou, Stand No. 9.2, Hall H11.
> Función y principio de funcionamiento, parámetros técnicos y selección de RCCB/ELCB
(1) Función: Se utiliza principalmente para cortar rápidamente el suministro eléctrico cuando se produce una descarga eléctrica o una fuga, para garantizar la seguri...
> Resumen de conocimientos comunes sobre interruptores diferenciales/disyuntores diferenciales
1. El disyuntor de fugas de la serie CDL7 es adecuado para CA 50 Hz, voltaje nominal de 400 V, corriente nominal de 63 A y el rendimiento de la acción no tiene nada ...
> 16 puntos de conocimiento le permiten comprender completamente el principio de funcionamiento y la función del RCCB/ELCB
1. Qué es un interruptor diferencial/interruptor diferencial eléctrico (RCCB/ELCB)? Respuesta: El RCCB/ELCB (interruptor de protección contra fugas) es un dispositiv...







